A-Comprehensive-Guide-to-Web-Scraping-Regression-and-Machine-Learning-for-Used-Cars

In our "Used Cars Price Prediction" project, our objective was to create a machine-learning model utilizing linear regression. We began by conducting exploratory data analysis and feature engineering to the dataset we gathered through web scraping. Our data was available from arabam.com, a regional platform selling used cars. Web Scraping

Tools

For our workspace, we utilized Jupyter Notebook. To scrape data from arabam.com, we employed Requests and BeautifulSoup. Numpy and Pandas can transform the gathered data into a structured data frame.

Preliminaries

Our initial step involved creating a "getAndParseURL" function, which will be instrumental in sending requests to websites in the subsequent stages of our project.

Preliminaries

Next, we assembled the links to the web pages that list the data we intend to scrape.

Next-we-assembled-the-links-to-the-web-pages-that-list-the-data-we-intend-to-scrape Next-we-assembled-the-links-to-the-web-pages-that-list-the-data-we-intend-to-scrape

We have compiled a list of all the advertisement links on each previously collected page. It allows us to use a for loop to send requests to each link.

web-scraping-regression-and-machine-learning-for-used-cars/We-have-compiled-a-list-of-all-the-advertisement-links-on-each-previously-collected-page web-scraping-regression-and-machine-learning-for-used-cars/We-have-compiled-a-list-of-all-the-advertisement-links-on-each-previously-collected-page

Scraping

Now, it's time to perform web scraping car data. Within our for loop, we instructed the program to retrieve each car feature from every car advertisement and add it to our result list as a variable. We then converted this list into a data frame. Additionally, if the program encounters difficulty accessing the data of a particular feature, it will assign the value of that variable as NaN.

Scraping

Given that our links list contains 2,500 links and we aim to scrape 22 features from each link, we should anticipate a resulting data frame with 2,500 rows and 22 columns.

Given-that-our-links-list-contains-2500-links-and-we-aim-to-scrape-22-features-from-each-link-we

Here is a representation of what our data frame looks like.

Here-is-a-representation-of-what-our-data-frame-looks-like

In the final step, we moved the last 1000 rows from our data frame into a new one, specifically for the prediction phase of our machine learning model. Subsequently, we saved both of these data frames as CSV files.

In-the-final-step-we-moved-the-last-1000-rows-from-our-data-frame-into-a-new-one-specifically-for

EDA & Feature Engineering Tools

For our workspace, we employed Jupyter Notebook. To clean and manipulate our data, we relied on Numpy and Pandas. We used Seaborn for data visualization and stats models for conducting statistical analyses.

Cleaning and Transforming Numeric Data

Upon importing our datasets and saving them as CSV files, our initial step involved inspecting all our columns and assessing the correlation values among our numeric columns. However, we encountered an issue where specific columns, expected to contain numeric values, were identified as having an object data type. It was not the expected data type.

Cleaning-and-Transforming-Numeric-Data Cleaning-and-Transforming-Numeric-Data

Let's examine the unique values in the "engine_capacity_cc" column.

Lets-examine-the-unique-values-in-the-engine-capacity-cc-column

We need to perform a series of edits to convert the values within this column to the integer data type. First, we'll extract only the numeric components from all values using Pandas's "extract()" function.

We-need-to-perform-a-series-of-edits-to-convert-the-values-within-this-column-to-the-integer-data

When attempting to change the column's data type to an integer using the "astype()" method in Pandas, we encountered an error due to the presence of null values in our column. These null values are inconvertible to an integer data type. After thoroughly examining the other columns, we have determined that utilizing the "model" column is most appropriate to fill in the null values within the "engine_capacity_cc" column. We manually created a dictionary to achieve this and employed Pandas' "map()" function.

When-attempting-to-change-the-columns-data-type-to-an-integer-using-the

Now, it's evident that all values in our column are in the integer data type.

Now-its-evident-that-all-values-in-our-column-are-in-the-integer-data-type

Let's examine the unique values in the "cylinder_number" column.

Lets-examine-the-unique-values-in-the-cylinder-number-column

After researching the Internet, we discovered that the number of cylinders correlates with engine capacity. With this insight, we implemented a for loop to populate the null values in our "cylinder_number" column accordingly.

After-researching-the-Internet-we-discovered-that-the-number-of-cylinders-correlates-with-engine

Subsequently, we utilized the "astype()" function to convert all the values in our column to the integer data type.

Subsequently-we-utilized-the-astype()-function-to-convert-all-the-values-in-our-column-to-the Subsequently-we-scaled-our-data-using-RobustScaler

For the "year" and "price_try" columns, minimal editing was required, primarily involving converting their values to the integer data type.

For-the-year-and-price-try-columns-minimal-editing-was-required-primarily-involving-converting For-the-year-and-price-try-columns-minimal-editing-was-required-primarily-involving-converting

Considering that the other columns containing numeric values are available due to their correlations, I won't delve into their specifics here to keep the article concise and engaging. You can explore the full notebook on my GitHub repository, which I will provide at the end of this article.

Now, let's focus on the categorical data within our columns, as there are quite a few.

We'll begin with the "make" column. The brand of a car is a crucial factor in determining its price. However, given the multitude of brands in our dataset, we decided to group some of them under the label 'other' to prevent an excessive proliferation of columns when we create dummy variables.

Well-begin-with-the-make-column-The-brand-of-a-car-is-a-crucial-factor-in-determining

In the "series" column, we've amalgamated specific values under the 'other' category. However, we implemented an additional adjustment to indicate which series belongs to which brand. Additionally,

we translated specific Turkish values into English for clarity.

we-translated-specific-Turkish-values-into-English-for-clarity we-translated-specific-Turkish-values-into-English-for-clarity-2 we-translated-specific-Turkish-values-into-English-for-clarity

The "model" column, which we utilized to fill the null values in the "engine_capacity_cc" column, also contains an excessive number of unique categorical values. It, in turn, leads to the 'too many columns' issue when generating dummy variables. Moreover, given that much of the information in other columns is closely related to the values in this column, we have decided that retaining the "model" column is no longer necessary.

The-model-column-which-we-utilized-to-fill-the-null-values-in-the-engine-capacity-cc-column

We encountered analogous issues with the other columns comprising of categorical values and addressed them using a similar approach. In some cases, we translated Turkish values into English; in others, we grouped specific values under the 'other.' We filled null values with the most frequent value in a few instances, as we couldn't establish a meaningful relationship with other columns or variables. To avoid redundancy, I won't elaborate on each case here, but you're welcome to explore the complete details in my notebook.

Ultimately, we removed duplicate rows from our dataset and saved it as a CSV file for utilization in the feature engineering phase. We executed similar procedures for the test dataset, except for excluding the "price_try" column, which won't be helpful in the prediction phase.

Let's take a closer look at our expected outcomes.

Lets-take-a-closer-look-at-our-expected-outcomes

Now, let's delve into feature engineering, where we elevate our analytical and coding prowess to a higher level. We imported our datasets from "arabam_train.csv" and "arabam_test.csv" files and initiated training with a simple linear regression model. Our target variable was the "price_try" column, and the features considered were "year," "km," and "engine_capacity_cc." However, as anticipated, our initial model yielded a meager R-squared score, indicating that significant work lay ahead.

Our initial investigation focused on the distribution of the "year" column. While it could be better, it appears manageable, too.

Our-initial-investigation-focused-on-the-distribution-of-the-year-column-While-it-could-be-better

To facilitate scaling, we transformed the "year" column into "age." As a result, we observed a similar graph, albeit inverted.

To-facilitate-scaling-we-transformed-the-year-column-into-age To-facilitate-scaling-we-transformed-the-year-column-into-age

Now, let's examine boxplots to identify potential outliers.

Now-lets-examine-boxplots-to-identify-potential-outliers

The presence of outliers is not negligible in our data. To determine the boundaries for these outliers, we have established a function with the upper quartile set at 75 and the lower quartile at 25.

The-presence-of-outliers-is-not-negligible-in-our-data-To-determine-the-boundaries-for-these

Upon applying the function to the "year" column, we determined that the upper whisker is 32 and the lower is 0. Subsequently, by removing rows where the "year" column is less than 32 from the training dataset, we observed a reduction in the number of rows from 1,499 to 1,479. A similar adjustment was made to the test dataset, reducing it from 999 to 989 rows. This reduction in dataset size is considered acceptable, and now, let's revisit the boxplots and distributions, which exhibit notable improvement.

Upon-applying-the-function-to-the-year-column-we-determined-that-the-upper-whisker Upon-applying-the-function-to-the-year-column-we-determined-that-the-upper-whisker-2

Now, let's examine the distribution of values in the "price_try" column, which is exclusive to our training dataset. Here, we observe a positive skew in the data.

Now-lets-examine-the-distribution-of-values-in-the-price-try-column-which

We applied the logarithm function to all the values to mitigate the skewness. This adjustment has resulted in a negative skew, an improvement compared to the previous positively skewed distribution.

We-applied-the-logarithm-function-to-all-the-values-to-mitigate-the-skewness We-applied-the-logarithm-function-to-all-the-values-to-mitigate-the-skewness-2

We performed analogous operations on other columns containing numeric values, including whisker removal and logarithmic transformations. We sometimes applied both operations as needed, leaving some columns unaltered. It's important to note that extracting whiskers in specific columns would lead to losing unique values. Please refer to my complete notebook for a comprehensive view of these operations.

Now, let's revisit the correlation heatmap of our columns containing numerical values.

Now-lets-revisit-the-correlation-heatmap-of-our-columns-containing-numerical-values

The updated correlation heatmap is considerably more significant than the initial one. However, it reveals several issues. Some features exhibit minimal impact on our target variable, while others have such negligible influence that they aren't practically useful. Furthermore, there are positive and negative correlations between certain features, raising concerns about multicollinearity. To address these issues, we must bid farewell to the columns exhibiting these problems.

The-updated-correlation-heatmap-is-considerably-more-significant-than-the-initial-one

The situation has improved with the removal of problematic columns.

The-situation-has-improved-with-the-removal-of-problematic-columns

Now, let's examine the same information from an alternative viewpoint.

Now-lets-examine-the-same-information-from-an-alternative-viewpoint

Next, let's analyze the OLS Regression Results generated through statmodels. At this stage, our primary focus is ensuring the R-squared and Adj. R-squared scores are both high and closely aligned. Furthermore, low p-values are crucial, indicating that the relevant features are not affecting the target by chance.

Next-lets-analyze-the-OLS-Regression-Results-generated-through-statmodels

Now, it's time to transform categorical data useless in machine learning modeling into numerical data. We will employ label encoding for columns having categorical data that exhibit a hierarchical or dominant relationship. Let's take the "transmission" column as an illustrative example.

Now-its-time-to-transform-categorical-data-useless-in-machine-learning-modeling-into-numerical

We employed label encoding for most of our categorical features in both datasets. However, for "make," "series," and "body_type" features, it was more appropriate to create dummy variables using one-hot encoding.

We-employed-label-encoding-for-most-of-our-categorical-features-in-both-datasets

Let's revisit our correlation heatmap once more.

Lets-revisit-our-correlation-heatmap-once-more

We have extensive features to consider and utilize, which diverges from our initial expectations. After some investigation, it becomes evident that the "make" features are relatively ineffective in predicting the target variable and contribute to multicollinearity issues due to their high correlation with the "series" features. Consequently, it's time to eliminate the "make" column. Additionally, we opt to drop the "fuel" column, as we observe correlations with certain features and a limited impact on the target variable.

We-have-extensive-features-to-consider-and-utilize-which-diverges

Now, for a final review, let's revisit our correlation heatmap. While it may not be flawless, it now appears more informative and relevant.

Now-for-a-final-review-lets-revisit-our-correlation-heatmap-While-it-may-not-be-flawless-it-now

Modeling Tools

In our workspace, we employed Jupyter Notebook for our tasks. To organize and manipulate data, we utilized Numpy and Pandas. We relied on Matplotlib for data visualization, and various tasks such as data splitting, training, scaling, regularization, testing, cross-validation, and prediction, we harnessed sci-kit-learn.

Basic Linear Regression and Scaling

Our initial step involved dividing our data into three sets: 60% for training, 20% for validation, and 20% for testing.

Our-initial-step-involved-dividing-our-data-into-three-sets-60-for

Following the data splitting, we constructed and trained a straightforward linear regression model.

Following-the-data-splitting-we-constructed-and-trained-a-straightforward-linear-regression-model Following-the-data-splitting-we-constructed-and-trained-a-straightforward-linear-regression-model

Subsequently, we scaled our data using RobustScaler.

Subsequently-we-scaled-our-data-using-RobustScaler

Before and after scaling our data, we achieved an R-squared score of approximately 0.91 with a basic linear regression model, which is reasonably satisfactory. While scaling may have minimal impact initially, its significance will become more apparent during the subsequent regularization and cross-validation stages. Here are the coefficients of our model; while some are relatively high, they are relatively manageable.

Next, we explore the application of Ridge, a commonly employed regularization technique.

Next-we-explore-the-application-of-Ridge-a-commonly-employed-regularization-technique

We established a for loop to iterate through various alpha values and identify the one that yields the most favorable results.

We-established-a-for-loop-to-iterate-through-various-alpha-values-and-identify We-established-a-for-loop-to-iterate-through-various-alpha-values-and-identify-2

In our model utilizing the Ridge technique, we obtain the highest R-squared score of 0.90 with an alpha value of 1. Additionally, when employing Lasso, another well-known technique, we achieved the highest R-squared score of 0.91.

Testing

Let's recall the test dataset we set aside during the web scraping phase. After making necessary adjustments to the train and test datasets, we train our model using the train dataset and evaluate its performance with the test dataset. Once again, we achieved a commendable R-squared score of 0.91.

Testing

Cross-Validation

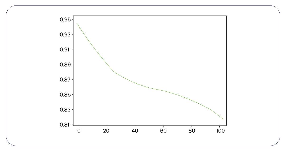
We are embarking on implementing cross-validation, a pivotal stage in the machine learning modeling process. Before our initial data splitting into 60%, 20%, and 20%, we had divided our train dataset into 80% and 20%. We further partition this 80% portion into ten parts for cross-validation purposes. We individually replicate this process for linear regression, Ridge, and Lasso models.

We-are-embarking-on-implementing-cross-validation-a-pivotal-stage-in-the-machine-learning We-are-embarking-on-implementing-cross-validation-a-pivotal-stage-in-the-machine-learning We-are-embarking-on-implementing-cross-validation-a-pivotal-stage-in-the-machine-learning

Following cross-validation, we computed the R-squared scores' means and standard deviations.

Following-cross-validation-we-computed-the-R-squared-scores-means-and-standard-deviations

We've reached the final stage of the modeling process, where we can employ our test dataset for car price predictions. It's worth noting that in the feature engineering phase, we took the logarithms of the values in the "price_try" column, and at this point, we need to reverse that transformation.

Weve-reached-the-final-stage-of-the-modeling-process-where-we-can-employ

Here are a few instances of predictions made by our model.

Here-are-a-few-instances-of-predictions-made-by-our-model

Lastly, we aimed to visualize the predictions generated by our model using a data frame.

Conclusion

Throughout this project, which marked the initial foray into machine learning, we have successfully applied the concepts and techniques acquired during the course. Achieving R-squared scores in the 85–90% range was indeed fulfilling.

Product Data Scrape is committed to upholding the utmost standards of ethical conduct across our Competitor Price Monitoring Services and Mobile App Data Scraping operations. With a global presence across multiple offices, we meet our customers' diverse needs with excellence and integrity.

LATEST BLOG

How Scraping Easter Fashion Sale from eCommerce Websites Helps Solve Pricing Competition Issues with 35% Better Discount Intelligence

Scraping Easter Fashion Sale from eCommerce Website helps track discounts, monitor competitors, and improve pricing with 35% better insights.

How to Scrape Easter Chocolate Market Trend 2026 - Pricing, Demand & Competition to Solve Price Volatility and Competitive Benchmarking Challenges

Scrape Easter Chocolate Market Trend 2026 - Pricing, Demand & Competition to track prices, analyze demand, and gain a competitive edge.

How Fashion Marketplace Data Tracking - ASOS vs Zara Enables Better Trend Analysis and Reduces Revenue Loss in the Fashion Industry

Fashion Marketplace Data Tracking - ASOS vs Zara helps brands analyze trends, optimize pricing, and reduce revenue loss in the fashion industry.

Case Studies

Discover our scraping success through detailed case studies across various industries and applications.

WHY CHOOSE US?

Product Data Scrape for Retail Web Scraping

Choose Product Data Scrape to access accurate data, enhance decision-making, and boost your online sales strategy effectively.

Reliable Insights

Reliable Insights

With our Retail Data scraping services, you gain reliable insights that empower you to make informed decisions based on accurate product data and market trends.

Data Efficiency

Data Efficiency

We help you extract Retail Data product data efficiently, streamlining your processes to ensure timely access to crucial market information and operational speed.

Market Adaptation

Market Adaptation

By leveraging our Retail Data scraping, you can quickly adapt to market changes, giving you a competitive edge with real-time analysis and responsive strategies.

Price Optimization

Price Optimization

Our Retail Data price monitoring tools enable you to stay competitive by adjusting prices dynamically, attracting customers while maximizing your profits effectively.

Competitive Edge

Competitive Edge

THIS IS YOUR KEY BENEFIT.
With our competitive price tracking, you can analyze market positioning and adjust your strategies, responding effectively to competitor actions and pricing in real-time.

Feedback Analysis

Feedback Analysis

Utilizing our Retail Data review scraping, you gain valuable customer insights that help you improve product offerings and enhance overall customer satisfaction.

5-Step Proven Methodology

How We Scrape E-Commerce Data?

01
Identify Target Websites

Identify Target Websites

Begin by selecting the e-commerce websites you want to scrape, focusing on those that provide the most valuable data for your needs.

02
Select Data Points

Select Data Points

Determine the specific data points to extract, such as product names, prices, descriptions, and reviews, to ensure comprehensive insights.

03
Use Scraping Tools

Use Scraping Tools

Utilize web scraping tools or libraries to automate the data extraction process, ensuring efficiency and accuracy in gathering the desired information.

04
Data Cleaning

Data Cleaning

After extraction, clean the data to remove duplicates and irrelevant information, ensuring that the dataset is organized and useful for analysis.

05
Analyze Extracted Data

Analyze Extracted Data

Once cleaned, analyze the extracted e-commerce data to gain insights, identify trends, and make informed decisions that enhance your strategy.

Start Your Data Journey
99.9% Uptime
GDPR Compliant
Real-time API

See the results that matter

Read inspiring client journeys

Discover how our clients achieved success with us.

6X

Conversion Rate Growth

“I used Product Data Scrape to extract Walmart fashion product data, and the results were outstanding. Real-time insights into pricing, trends, and inventory helped me refine my strategy and achieve a 6X increase in conversions. It gave me the competitive edge I needed in the fashion category.”

7X

Sales Velocity Boost

“Through Kroger sales data extraction with Product Data Scrape, we unlocked actionable pricing and promotion insights, achieving a 7X Sales Velocity Boost while maximizing conversions and driving sustainable growth.”

"By using Product Data Scrape to scrape GoPuff prices data, we accelerated our pricing decisions by 4X, improving margins and customer satisfaction."

"Implementing liquor data scraping allowed us to track competitor offerings and optimize assortments. Within three quarters, we achieved a 3X improvement in sales!"

Resource Hub: Explore the Latest Insights and Trends

The Resource Center offers up-to-date case studies, insightful blogs, detailed research reports, and engaging infographics to help you explore valuable insights and data-driven trends effectively.

Get In Touch

How Scraping Easter Fashion Sale from eCommerce Websites Helps Solve Pricing Competition Issues with 35% Better Discount Intelligence

Scraping Easter Fashion Sale from eCommerce Website helps track discounts, monitor competitors, and improve pricing with 35% better insights.

How to Scrape Easter Chocolate Market Trend 2026 - Pricing, Demand & Competition to Solve Price Volatility and Competitive Benchmarking Challenges

Scrape Easter Chocolate Market Trend 2026 - Pricing, Demand & Competition to track prices, analyze demand, and gain a competitive edge.

How Fashion Marketplace Data Tracking - ASOS vs Zara Enables Better Trend Analysis and Reduces Revenue Loss in the Fashion Industry

Fashion Marketplace Data Tracking - ASOS vs Zara helps brands analyze trends, optimize pricing, and reduce revenue loss in the fashion industry.

How We Helped a Brand Leverage Mouser Electronics Product List Details Dataset to Improve Product Catalog Accuracy and Market Insights

Case study on leveraging Mouser Electronics Product List Details Dataset to improve catalog accuracy, streamline data, and gain actionable market insights.

How We Implemented a UK Supermarket Websites Product Data Scraper for a Supermarket Brand to Improve Real-Time Data Insights and Category Performance

How we implemented a UK supermarket websites product data scraper to deliver real-time insights, optimize pricing, and boost category performance.

How We Enabled a Supermarket Brand to Optimize Product Placement Through 14 US Supermarket Chains Data Scraping

Learn how we helped a supermarket brand optimize product placement and boost sales using 14 US Supermarket Chains Data Scraping.

Amazon vs Walmart Easter Candy Data Scraping 2026: Comparative Pricing, Demand Trends, and Competitive Benchmark Analysis

Amazon vs Walmart Easter Candy Data Scraping 2026 reveals pricing trends, demand insights, and competitive benchmarks for smarter retail strategies.

Scrape Australia Fashion Market Data - THE ICONIC vs Showpo vs Princess Polly - Data-Driven Insights into eCommerce Growth, Pricing Intelligence, and Trend Forecasting

Scrape Australia Fashion Market Data - THE ICONIC vs Showpo vs Princess Polly to track pricing, trends, and boost eCommerce strategies.

Australia Grocery Price Intelligence - Woolworths vs Coles Analysis - A Data-Driven Study on Pricing Trends, Competition, and Consumer Behavior

Australia Grocery Price Intelligence - Woolworths vs Coles Analysis reveals pricing trends, promotions, and strategies shaping retail competition.

Reducing Returns with Myntra AND AJIO Customer Review Datasets

Analyzed Myntra and AJIO customer review datasets to identify sizing issues, helping brands reduce garment return rates by 8% through data-driven insights.

Before vs After Web Scraping - How E-Commerce Brands Unlock Real Growth

Before vs After Web Scraping: See how e-commerce brands boost growth with real-time data, pricing insights, product tracking, and smarter digital decisions.

Scrape Data From Any Ecommerce Websites

Easily scrape data from any eCommerce website to track prices, monitor competitors, and analyze product trends in real time with Real Data API.

Fresh Citrus Price Wars - Coles vs Aldi — What Does the Data Say?

Fresh Citrus Price Wars — Coles vs Aldi: data-driven comparison of prices, trends, and savings to see which retailer wins on value for shoppers.

Retail Inflation 2025 – Comparing Grocery Baskets in Dubai vs. Abu Dhabi (Noon)

Retail Inflation 2025 – Comparing Grocery Baskets in Dubai vs. Abu Dhabi (Noon) highlights price differences and real-world grocery costs across UAE cities.

Unlock Winning Products on Pinduoduo - How Scraping Bestseller Data Reveals Top Titles, Prices & Sales Trends

Scrape Pinduoduo bestseller data to analyze top-selling products, pricing trends, sales performance, for smarter eCommerce and intelligence decisions.

FAQs

E-Commerce Data Scraping FAQs

Our E-commerce data scraping FAQs provide clear answers to common questions, helping you understand the process and its benefits effectively.

E-commerce scraping services are automated solutions that gather product data from online retailers, providing businesses with valuable insights for decision-making and competitive analysis.

We use advanced web scraping tools to extract e-commerce product data, capturing essential information like prices, descriptions, and availability from multiple sources.

E-commerce data scraping involves collecting data from online platforms to analyze trends and gain insights, helping businesses improve strategies and optimize operations effectively.

E-commerce price monitoring tracks product prices across various platforms in real time, enabling businesses to adjust pricing strategies based on market conditions and competitor actions.

Let’s talk about your requirements

Let’s discuss your requirements in detail to ensure we meet your needs effectively and efficiently.

bg

Trusted by 1500+ Companies Across the Globe

decathlon
Mask-group
myntra
subway
Unilever
zomato

Send us a message